Skip to content Skip to sidebar Skip to footer

Poland Isd Code From India

Poland Isd Code From India. The isd code for poland is. Any calls made to isd.

1 STD, Isd & Pin Codes
1 STD, Isd & Pin Codes from www.scribd.com

Web isd code / country phone code for india. Contact us +91.120.4517800 +91 9971093718 help desk. Web poland isd code 48 country

Contact Us +91.120.4517800 +91 9971093718 Help Desk.


Web how to make a call from india to poland step by step. Web search complete list of isd/country codes. Find area code of poland to make international call from poland to india.

Web For Example 0091Xxxyyy, Where Xxx Must Be Your Area Code And Yyy Must Be Your Phone Number In India.


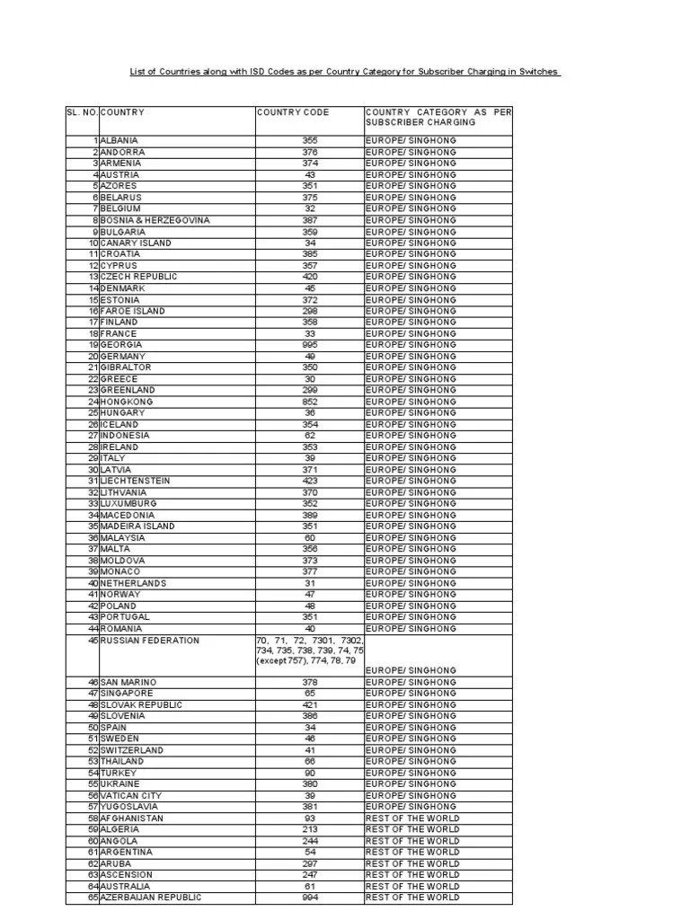
Web code country code argentina 0054. Web poland isd code 48 country Ico global (mobile satellite service) 8811:

Web Cybex Exim Provides Free Online Isd Codes, Isd Code List, International Subscriber Dialing Isd Codes, Isd Code By.


Web postpaid isd call rates & isd codes. Any calls made to isd. Std codes of india :

Web Search Isd Codes Of Various Countries Provided By The Bharat Sanchar Nigam Limited (Bsnl).


Get isd/country codes for all the countries in the world. Search by isd code (or) select country * country capital isd code; International subscriber dialing is known as isd code.

Web To Make International Calls, You Need To Add The Isd Code Of That Specific Country And The Area Code Of That Region Before The Recipient’s Telephone Number.


The dialing format is given below. The isd code for india is 91. Users have to enter the country name in the respective field to check the isd.

Post a Comment for "Poland Isd Code From India"